114年:醫學一(1)
NAD+ 的化學結構應為下列何者?
A

B

C

D

詳細解析
本題觀念:
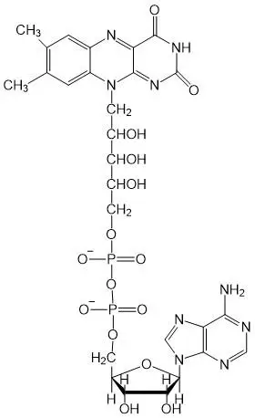
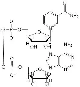
本題考查生物化學中重要輔酶(Coenzymes)的化學結構辨識。核心觀念在於區分常見核苷酸及其衍生物的結構特徵,特別是 NAD+(菸鹼醯胺腺嘌呤二核苷酸)、FAD(黃素腺嘌呤二核苷酸)、PLP(磷酸吡哆醛)及 AMP(腺苷單磷酸)。考生需掌握 NAD+ 由兩個核苷酸(腺嘌呤核苷酸與菸鹼醯胺核苷酸)透過焦磷酸鍵連接而成的特徵。
影像分析:
我們依序分析四個選項圖片的化學結構:
-
選項 A 圖片:
- 觀察:圖像顯示一個腺嘌呤(Adenine)鹼基連接到一個核糖(Ribose),核糖的 5' 端連接一個磷酸基團。
- 診斷:這是 Adenosine Monophosphate (AMP,腺苷單磷酸) 的結構。它是 RNA 的組成單位之一,也是 ATP 的水解產物,並非 NAD+。
-
選項 B 圖片:
- 觀察:圖像顯示一個單獨的吡啶(Pyridine)環,環上有醛基(-CHO)、羥基(-OH)、甲基(-CH3)以及磷酸甲基(-CH2OPO3)。
- 診斷:這是 Pyridoxal Phosphate (PLP,磷酸吡哆醛) 的結構。它是維生素 B6 的活性形式,主要參與胺基酸的轉胺反應,結構與 NAD+ 的雙核苷酸結構完全不同。
...(解析預覽)...