114年:藥學二(第1次)

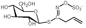
Black mustard主要成分sinigrin的化學結構為:

A圖片
B圖片
C圖片
D圖片

詳細解析

本題觀念:

本題考查生藥學中十字花科 (Brassicaceae) 植物所含的硫柏苷 (Glucosinolates) 類成分及其化學結構。這類化合物在植物組織受損時,會被並存的酵素芥子酶 (Myrosinase) 水解,產生具有揮發性或辛辣味的異硫氰酸酯 (Isothiocyanates)。

考試重點在於區分黑芥子 (Black Mustard)白芥子 (White Mustard) 的主要成分及其結構差異:

  1. 黑芥子 (Brassica nigra):主要含 Sinigrin (黑芥子苷),水解產生揮發性的 Allyl isothiocyanate
  2. 白芥子 (Sinapis alba):主要含 Sinalbin (白芥子苷),水解產生不揮發性的 pp-Hydroxybenzyl isothiocyanate

影像分析:

題目提供的選項皆為 Glucosinolate (硫柏苷) 的骨架結構,其核心結構包含:

  • Glyconeβ\beta-D-Glucose (葡萄糖基)
  • Aglycone:透過硫原子 (S) 連接的碳,該碳原子與一個肟硫酸鹽 (=NOSO3=N-O-SO_3^-) 相連,並接有一個側鏈 **R基團

...(解析預覽)...