109年:藥學一(第2次)
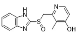
下列何者為 lansoprazole (結構如下圖)的最主要代謝物? 
A

B

C

D

詳細解析
本題觀念:
Lansoprazole 的代謝途徑 (Metabolism of Lansoprazole)
Lansoprazole 是一種質子幫浦抑制劑 (PPI),在體內主要透過肝臟的細胞色素 P450 酵素系統進行代謝。其最主要的兩條代謝途徑為:
- CYP2C19:將 Lansoprazole 進行羥基化 (Hydroxylation),生成 5-hydroxylansoprazole。這是最主要的代謝途徑之一,且 CYP2C19 的基因多型性 (PM/EM) 會顯著影響 Lansoprazole 的血中濃度。
- CYP3A4:將 Lansoprazole 的 sulfoxide 基團氧化,生成 Lansoprazole sulfone。
雖然 Lansoprazole sulfone 在血漿中也有相當濃度,但在藥物化學與藥理學考試中,通常強調 5-hydroxylansoprazole 為經由 CYP2C19 代謝的主要產物,這也是區分快/慢代謝者的關鍵指標。
影像分析:
本題提供了 Lansoprazole 的結構及四個選項的結構圖,分析如下:
- 題目結構 (Lansoprazole):
- 左側:Benzimidazole 環。
- 中間:S
...(解析預覽)...