109年:藥學一(第2次)
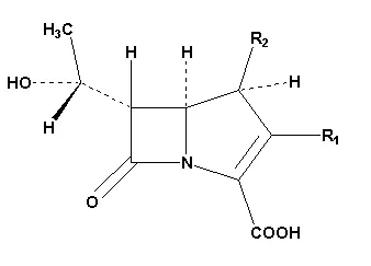
Carbapenems類抗生素結構通式如下圖,何者之 R2位置不具甲基,而易被腎臟 dehydropeptidase-1 ( DHP-1 )水解? 
Aimipenem
Bmeropenem
Certapenem
Ddoripenem
詳細解析
本題觀念:
本題考點為 Carbapenem 類抗生素的構效關係 (Structure-Activity Relationship, SAR),特別是 1-beta-methyl group (1-β-甲基) 的存在與否對腎臟 Dehydropeptidase-1 (DHP-1) 穩定性的影響。
影像分析:
題目附圖為 Carbapenem 類抗生素的通用結構式:
- 核心結構:由四圓的 -lactam ring 併上五圓的環 (與 Penicillins 的 Thiazolidine ring 不同,Carbapenems 五圓環上的 C-1 取代了 S 原子,且 C-2 與 C-3 之間有雙鍵)。
- R2 位置:圖中標示的 位置,對應於 Carbapenem 結構編號的 C-1 位置 (若依 IUPAC 系統命名則為 C-4 位置)。此位置的取代基團對於藥物在體內的代謝穩定性至關重要。
- R1 位置:位於 C-2 的側鏈,主要影響抗菌譜與藥代動力學特性。
選項分析
- A. Imipenem:
- 結構特徵:Imipenem 是第一代的 Carbapenem,其結構在圖中 ** 位置
...(解析預覽)...